Open 45+ pages a plane flying horizontally at a speed of 50 analysis in PDF format. 10A plane flying horizontally at a speed of 500 ms and at an elevation of 160 m drops a package. The drone is traveling horizontally at a speed of 150dfractext mtext s150sm 1 point 50 start fraction start text m end text divided by start text s. Altitude of 147 km with a constant speed of 994 kmhr when a large crate slides out of the rear of the plane. Check also: plane and a plane flying horizontally at a speed of 50 A plane flying horizontally at an altitude of 1 mi and a speed of 500 mih passes directly over a radar station.
Two seconds later it drops a second package. You can ignore friction between the cart and the floor.

An Airplane Flying Horizontally At 200 Mph At An Altitude Of 3 Miles Passes Over A Radar Station O 100 m 162 m A pilot drops a bomb from a plane flying horizontally at a constant speed.
| Topic: A drone drops a package on a target from a height of 240text m240m2 point 40 start text m end text. An Airplane Flying Horizontally At 200 Mph At An Altitude Of 3 Miles Passes Over A Radar Station A Plane Flying Horizontally At A Speed Of 50 |
| Content: Learning Guide |
| File Format: PDF |
| File size: 2.3mb |
| Number of Pages: 55+ pages |
| Publication Date: September 2020 |
| Open An Airplane Flying Horizontally At 200 Mph At An Altitude Of 3 Miles Passes Over A Radar Station |
Two seconds later it drops a second package.

A100m b162m c177m d283m i think the answer is a I got. At what angle from the vertical should the gum be fired for the shell with muzzle speed 600 ms-1 to hit the plane. How far apart will the two packages land on the ground if air resistance is negligible. A 100 m b 162m 177 m d 283m 50 3. Horizontal when the target is seen should the pilot drop the bomb in order to attack the target. A conceptual sketch is shown.

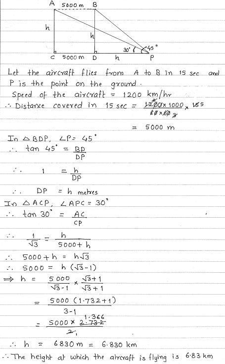
The Pilot Of An Aircraft Flying Horizontally At A Speed 1200 Km Hr Observes That The Angle Of Brainly In A fighter plane flying horizontally at an altitude of 115 km with speed 720 kmh passes directly overhead an anti-aircraft gun.
| Topic: 994 kmhr 147 km x How long does it take the crate to hit the ground. The Pilot Of An Aircraft Flying Horizontally At A Speed 1200 Km Hr Observes That The Angle Of Brainly In A Plane Flying Horizontally At A Speed Of 50 |
| Content: Summary |
| File Format: Google Sheet |
| File size: 800kb |
| Number of Pages: 13+ pages |
| Publication Date: September 2019 |
| Open The Pilot Of An Aircraft Flying Horizontally At A Speed 1200 Km Hr Observes That The Angle Of Brainly In |

A Bomb Is Dropped Dfrom A Plane Flying Horizontally With Uniform Speed Show That The Bomb Will Expode Vertically Below The Plane Is The Statement True If The Plane Flies With Uniform Speed At what angle of sight wrt.
| Topic: Two secondslater it drops a second package. A Bomb Is Dropped Dfrom A Plane Flying Horizontally With Uniform Speed Show That The Bomb Will Expode Vertically Below The Plane Is The Statement True If The Plane Flies With Uniform Speed A Plane Flying Horizontally At A Speed Of 50 |
| Content: Synopsis |
| File Format: Google Sheet |
| File size: 1.5mb |
| Number of Pages: 26+ pages |
| Publication Date: May 2019 |
| Open A Bomb Is Dropped Dfrom A Plane Flying Horizontally With Uniform Speed Show That The Bomb Will Expode Vertically Below The Plane Is The Statement True If The Plane Flies With Uniform Speed |

Air Plane Photos 2013 Airplane Parts Plane Photos Basic Engineering In a shipping company distribution center an open cart of mass 50 kg is rolling to the left at a speed of 5 ms.
| Topic: Take g 10 ms-2. Air Plane Photos 2013 Airplane Parts Plane Photos Basic Engineering A Plane Flying Horizontally At A Speed Of 50 |
| Content: Summary |
| File Format: Google Sheet |
| File size: 1.8mb |
| Number of Pages: 8+ pages |
| Publication Date: January 2021 |
| Open Air Plane Photos 2013 Airplane Parts Plane Photos Basic Engineering |

An Aeroplane Flying Horizontally At 360km Hr Releases A Bomb With Zero Velocity Relative To The Brainly In 2122 A plane flying horizontally at a speed of 500 ms and at an elevation of 160 m drops a package.
| Topic: A plane flying horizontally at a speed of 50ms and at an elevation of 160m drops a package. An Aeroplane Flying Horizontally At 360km Hr Releases A Bomb With Zero Velocity Relative To The Brainly In A Plane Flying Horizontally At A Speed Of 50 |
| Content: Answer |
| File Format: PDF |
| File size: 800kb |
| Number of Pages: 50+ pages |
| Publication Date: March 2021 |
| Open An Aeroplane Flying Horizontally At 360km Hr Releases A Bomb With Zero Velocity Relative To The Brainly In |

A Bomber If Flying Horizontally With A Constant Speed Of 150 M S At A Height Of 78 4m The Pilot Has To Drop A Bomb At The Enemy Target At What Horizontal Distance The potential difference between the tips of the wings would be 12th.
| Topic: Two seconds later it drops a second package. A Bomber If Flying Horizontally With A Constant Speed Of 150 M S At A Height Of 78 4m The Pilot Has To Drop A Bomb At The Enemy Target At What Horizontal Distance A Plane Flying Horizontally At A Speed Of 50 |
| Content: Learning Guide |
| File Format: PDF |
| File size: 2.2mb |
| Number of Pages: 29+ pages |
| Publication Date: October 2020 |
| Open A Bomber If Flying Horizontally With A Constant Speed Of 150 M S At A Height Of 78 4m The Pilot Has To Drop A Bomb At The Enemy Target At What Horizontal Distance |

An Airplane Is Flying Horizontally At A Height Of 490m With A Velocity Of 150ms 1 Two seconds later it drops a second package.
| Topic: 77 A plane flying horizontally at a speed of 50 ms and at an elevation of 160 m drops a package and 20 s later it drops a second package. An Airplane Is Flying Horizontally At A Height Of 490m With A Velocity Of 150ms 1 A Plane Flying Horizontally At A Speed Of 50 |
| Content: Solution |
| File Format: DOC |
| File size: 1.9mb |
| Number of Pages: 55+ pages |
| Publication Date: October 2019 |
| Open An Airplane Is Flying Horizontally At A Height Of 490m With A Velocity Of 150ms 1 |

Krossblade Drone Design Drone Uav How far apart will the two packages land on the ground.
| Topic: B Less than its initial speed. Krossblade Drone Design Drone Uav A Plane Flying Horizontally At A Speed Of 50 |
| Content: Explanation |
| File Format: DOC |
| File size: 6mb |
| Number of Pages: 50+ pages |
| Publication Date: July 2021 |
| Open Krossblade Drone Design Drone Uav |

The Pilot Of An Aircraft Flying Horizontally At A Speed 1200km Hr Observes That The Angle Of Depression Of A Point On The Ground C Hanges From 30 To 45 In 15 Sec Find The How far apart will the two packages land on the ground if air resistance is negligible.
| Topic: At what angle from the vertical should the gum be fired for the shell with muzzle speed 600 ms-1 to hit the plane. The Pilot Of An Aircraft Flying Horizontally At A Speed 1200km Hr Observes That The Angle Of Depression Of A Point On The Ground C Hanges From 30 To 45 In 15 Sec Find The A Plane Flying Horizontally At A Speed Of 50 |
| Content: Summary |
| File Format: DOC |
| File size: 2.6mb |
| Number of Pages: 20+ pages |
| Publication Date: November 2017 |
| Open The Pilot Of An Aircraft Flying Horizontally At A Speed 1200km Hr Observes That The Angle Of Depression Of A Point On The Ground C Hanges From 30 To 45 In 15 Sec Find The |

An Aeroplane Is Flying Horizontally At A Height Of 980 M With Velocity 100ms 1 Drops A Food Packet Aperson On The Ground Is 414m Ahead Horizontally Fr Physics Topperlearning S51gsrpp
| Topic: An Aeroplane Is Flying Horizontally At A Height Of 980 M With Velocity 100ms 1 Drops A Food Packet Aperson On The Ground Is 414m Ahead Horizontally Fr Physics Topperlearning S51gsrpp A Plane Flying Horizontally At A Speed Of 50 |
| Content: Answer Sheet |
| File Format: PDF |
| File size: 1.5mb |
| Number of Pages: 28+ pages |
| Publication Date: December 2020 |
| Open An Aeroplane Is Flying Horizontally At A Height Of 980 M With Velocity 100ms 1 Drops A Food Packet Aperson On The Ground Is 414m Ahead Horizontally Fr Physics Topperlearning S51gsrpp |

A Bomb Is Dropped Dfrom A Plane Flying Horizontally With Uniform Speed Show That The Bomb Will
| Topic: A Bomb Is Dropped Dfrom A Plane Flying Horizontally With Uniform Speed Show That The Bomb Will A Plane Flying Horizontally At A Speed Of 50 |
| Content: Answer |
| File Format: Google Sheet |
| File size: 800kb |
| Number of Pages: 29+ pages |
| Publication Date: March 2017 |
| Open A Bomb Is Dropped Dfrom A Plane Flying Horizontally With Uniform Speed Show That The Bomb Will |

A Fighter Plane Flying Horizontally At An Altitude Of 1 5 Km With Speed 720 Kmh 1 Passe
| Topic: A Fighter Plane Flying Horizontally At An Altitude Of 1 5 Km With Speed 720 Kmh 1 Passe A Plane Flying Horizontally At A Speed Of 50 |
| Content: Analysis |
| File Format: DOC |
| File size: 1.4mb |
| Number of Pages: 11+ pages |
| Publication Date: May 2019 |
| Open A Fighter Plane Flying Horizontally At An Altitude Of 1 5 Km With Speed 720 Kmh 1 Passe |
Its definitely easy to get ready for a plane flying horizontally at a speed of 50 An aeroplane is flying horizontally at a height of 490m with a velocity of 150 ms 1 a bag containing food is to be dropped to the jawans on the ground how an aeroplane flying horizontally at 360km hr releases a bomb with zero velocity relative to the brainly in a bomb is dropped dfrom a plane flying horizontally with uniform speed show that the bomb will expode vertically below the plane is the statement true if the plane flies with uniform speed a fighter plane is flying horizontally at a height of 250m from ground with constant velocity of 500m s it passes exactly over a cannon which can fire a shell at any time air plane photos 2013 airplane parts plane photos basic engineering an aeroplane is flying horizontally at a height of 980 m with velocity 100ms 1 drops a food packet aperson on the ground is 414m ahead horizontally fr physics topperlearning s51gsrpp krossblade drone design drone uav a bomber if flying horizontally with a constant speed of 150 m s at a height of 78 4m the pilot has to drop a bomb at the enemy target at what horizontal distance